98年12月(第210期)
國產芻料硝酸態氮含量之研究
畜產試驗所 盧啟信
一 . 前言
牧草中除了含有對動物有益的成分外,還含有多種對動物健康不利的成分,酪農考量牧草品質時,向來只注重其營養價值,而忽略芻料中所含的有害成分,造成時有動物產生不明病症之現象,如嚴重便祕或流產,而此種現象又時常於更換芻料來源時發生
因此,不得不考慮是否芻料中有害物質所造成,牧草中過量的硝酸態氮 (NO3- –N) 就是對動物健康不利的因子之一。硝酸態氮是植物生長的最基本元素,當植物由土壤中吸收硝酸態氮後,在正常情況下,硝酸態氮會很快的轉變成亞硝酸態氮再轉變成銨態氮,然後合成胺基酸及蛋白質,植體中很少有硝酸態氮大量累積的現象。但在特殊的條件下,如土壤含有過量的氮素或天候不良,造成植物生長受阻,就會有硝酸態氮累積的現象。牧草中如含有過量的硝酸態氮,動物攝食後,會產生中毒的現象。其血液中顯示嚴重缺氧,而呈現深咖啡色,嚴重硝酸態氮中毒,甚至可能造成動物快速死亡。
二 . 造成牧草中過量硝酸態氮含量的原因
牧草中含有過量的硝酸態氮的原因,基本上是植物吸收硝酸態氮未能轉移為蛋白質所致。植物無法將硝酸態氮轉移為蛋白質的原因不外乎: 1. 氮肥過量的施用:氮、磷、鉀是植物生長的 3 種基本元素,尤其氮素更是決定植物生長速率、產量及品質的關鍵因素。農民為了提高產量及加速生長,往往施用超量的氮肥 ( 包括化學肥料及有機肥料 ) ,造成植物超量的吸收氮素,使植體中累積過多的硝酸態氮,這是牧草中硝酸態氮累積最常見的原因; 2. 氣候因子:天候不良時植物將硝酸態氮轉變成胺基酸或蛋白質會受到抑制。如氣溫太低或連續下雨等不良的氣候下,植物的代謝降低,亦會造成硝酸態氮的累積。
三 . 硝酸態氮對動物健康的危害
硝酸態氮基本上對反芻動物是無害的,反芻動物攝取硝酸態氮後,可藉由瘤胃中的微生物將硝酸態氮還原成銨態氮後再合成胺基酸。但如果攝取的硝酸態氮太多,則還原過程中會累積亞硝酸態氮,亞硝酸態氮會與血液中的紅血球結合,阻礙紅血球運送氧氣的能力,造成動物缺氧的狀態。動物硝酸態氮中毒時,其中毒症狀會在短時間之內顯現,一般中毒的症狀包括呼吸困難、體溫下降、心跳降低、口吐白沫、流眼淚、肌肉抽筋等,嚴重的硝酸態氮中毒,會使動物血液呈咖啡色,在短時間內就會造成動物死亡。動物硝酸態氮中毒的程度依其攝取的硝酸態氮量而定,芻料中硝酸態氮的含量對動物的安全及危險性如表 1 。一般芻料中硝酸態氮濃度低於 1000 ppm 時,對動物是安全的,適當的餵飼並無中毒之虞。隨著芻料中硝酸態氮含量的提高,其餵飼量必須逐漸限制,當硝酸態氮含量超過 4000 ppm 時,則應完全禁止餵飼。
表 1 、牧草中硝酸態氮含量對動物安全餵飼的

四 . 國產芻料硝酸態氮之含量
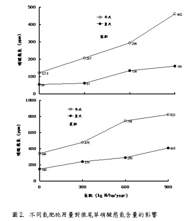
國內芻料作物一向只注重其營養價值,而忽略芻料中所含的有害成分,本會畜產試驗所為瞭解國內主要的國產芻料狼尾草及尼羅草,在目前的肥料推薦量及栽培管理方式下,牧草中的硝酸態氮含量狀況,連續兩年進行相關試驗。試驗結果顯示,尼羅草的硝酸態氮含量隨著氮肥施用量的增加而提高,冬季硝酸態氮的累積顯著較夏季為高。冬季硝酸態氮含量由 297 ppm 增加至最高達 701 ppm ,而夏季則僅在 146 至 278 ppm 之間 ( 圖 1) ,狼尾草的硝酸態氮含量集中於莖部,且與尼羅草相似,隨著氮肥施用量的增加而提高,冬季硝酸態氮的累積顯著較夏季為高。狼尾草冬季及夏季莖部最高硝酸態含量分別為 823 及 408 ppm ,葉部則分別為 462 及 160 ppm ( 圖 2) 。葉部可能由於光合作用關係,代謝速度較快,所以硝酸態氮含量較莖部為低。植體中硝酸態氮的含量如超過 1000 ppm 可能對動物造成毒害 ( 表 1) ,本試驗中尼羅草及狼尾草的最高氮肥施用量 450 及 900 kg/ha/year ,硝酸態氮的含量並未超過 1000 ppm ,此結果顯示,目前的氮肥推薦量,尼羅草 450kg/ha/year 及狼尾草 900 kg/ha/year ,在正常情況下,並不會造成硝酸態氮危害動物的現象。但如考量冬季天候較冷,植體中可能會有硝酸態氮夠高情形,尼羅草及狼尾草之氮肥施用量則分別以 300 及 600 kg/ha/year 為宜。
不同割期亦會影響牧草中硝酸態氮的累積,畜產試驗所將尼羅草台畜草一號及狼尾草台畜草二號分別於 6 、 8 、 10 及 12 週各青割一次,探討不同割期對硝酸態氮在牧草中累積之影響。試驗結果顯示,尼羅草及狼尾草之硝酸態氮含量隨著割期的延後而降低,尼羅草硝酸態氮含量,六週收割平均 337 ppm ,狼尾草六週收割時,莖部及葉部的硝酸態氮含量分別為 531 及 256 ppm 。國內目前推薦的尼羅草及狼尾草最適收割期為 6-10 週,就牧草中硝酸態氮的含量而言,此割期是適當,不會造成硝酸態氮危害動物的情形。
五 . 如何降低硝酸態氮中毒
有效的避免硝酸態氮中毒的問題,可由牧草的栽培管理及動物的飼養管理著手。牧草栽培管理方面 1. 合理的氮肥施用,避免植物過量的氮素吸收,造成硝酸態氮的累積。 2. 植體中硝酸態氮的含量,基部通常較上半部為高,所以牧草採收時不宜太靠近植物的基部。 3. 太幼嫩的植株通常含有較高的硝酸態氮,所以牧草應避免太早期採收。 4. 天候不佳時,植物的代謝較慢,硝酸態氮轉變成胺基酸或蛋白質的速率下降,易造成硝酸態氮的累積,所以應避免於天候不佳的狀況下採收。 5. 牧草調製青貯料於厭氣狀況下進行,可有效的降低硝酸態氮含量,因此多以青貯料取代鮮飼或乾草,可以降低硝酸態氮中毒的現象。 6. 酸性土壤 (pH <5) 或缺有效性磷的土壤較易造成植體中硝酸態氮的累積,因此栽種牧草時宜慎選土壤。 7. 牧草品種對硝酸態氮的累積有很大的差異,因此在易造成硝酸態氮累積的土壤種植牧草時,宜選擇不易累積硝酸態氮之品種。
除了適宜的牧草栽培管理可以避免硝酸態氮的累積外,良好的畜牧飼養管理亦可降低硝酸態氮中毒的現象。這些管理包括: 1. 健康的牛隻對硝酸態氮的忍受性較強,因此平日多注重動物的管理與照顧,使其有較健壯的身體,亦可降低 硝酸態氮中毒的機會。 2. 漸進增加餵飼高濃度硝酸態氮之牧草,使動物慢慢適應高濃度硝酸態氮的牧草,可避免動物的急性中毒。 3. 餵飼適當的碳水化合物,使其具有足夠的熱能,以提高硝酸態氮的代謝速度。 4. 避免在動物極饑餓狀況下餵飼,可避免動物短時間內採食過多含高濃度硝酸態氮之牧草,增加中毒之機會。 5. 雨天、陰天或溫度較低時不要過分放牧,避免動物任食攝取過多含高濃度硝酸態氮之牧草。
六 . 結論
|
圖 1. 不同氮肥施用量對尼羅草硝酸態氮含量的影響 |
牧草是提供反芻動物營養最主要的來源,考量牧草的品質除了 注重其營養價值外,也應兼顧其有害成分的含量。為了減少動物硝酸態氮中毒的機會,一方面須注意牧草的栽培管理及調製利用,以降低硝酸態氮在牧草中的累積;另一方面須經由適當的動物飼養管理,以減少硝酸態氮的攝取,方能確保動物的健康。國內目前針對尼羅草及狼尾草栽培管理所推薦的氮肥施用量及收割期是適當的,並不會造成硝酸態氮的過度累積,而危害動物的健康。然牧草中硝酸態氮的累積除了受到肥料及割期的影響外,還易受到天候的影響,因此酪農必須根據氣候條件,隨時調整栽培管理方式,如冬天生長不良須降低氮肥的施用,連續雨天避免收割或延長收割期,才能避免或降低動物硝酸態氮中毒的風險。

圖 1. 不同氮肥施用量對尼羅草硝酸態氮含量的影響

圖 2. 不同氮肥施用量對狼尾草硝酸態氮含量的影響
圖 3. 不同割期對尼羅草硝酸態氮含量的影響

圖 4. 不同割期對狼尾草硝酸態氮含量的影響